首页>要闻 要闻
深圳公示今年首批领军人才住房补贴名单 最高补贴75万元
深圳公示今年首批领军人才住房补贴名单,最高补贴75万元
5月28日,深圳市住房和建设局网站公布了《深圳市住房保障署关于2019年度第一批次符合深圳市人才安居领军人才住房补贴发放条件申请人名单的公示》。

截屏图
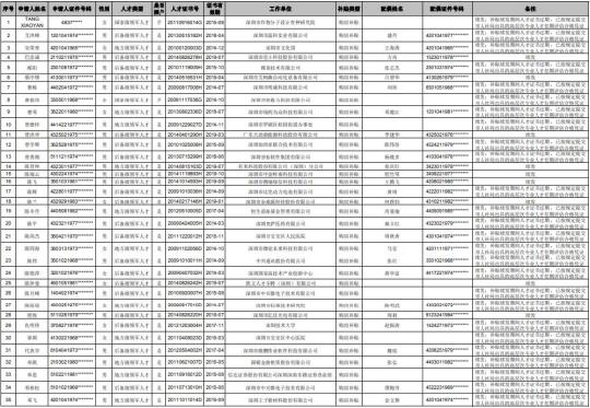
经初步核查,截至2019年4月22日, 335位人才符合住房补贴发放条件。根据《公示》,15人选择了租房补贴,320人选择了购房补贴,没有新增的领军人才,从备注项看,住房补贴皆为“续发”。335人中,共有7名国家级领军人才。

335位人才符合住房补贴发放条件的名单(部分)。 截屏图
根据2015年1月1日实行的《深圳市人才安居办法》,领军人才购房补贴由用人单位和政府按照1∶1的比例分担,政府根据用人单位实际补贴情况确定补贴金额,但政府补贴金额不超过以下标准:
(一)国家级领军人才每年15万元,总额75万元;
(二)地方级领军人才每年10万元,总额50万元;
(三)后备级人才每年8万元,总额40万元。
领军人才购房补贴申请经审核合格后,由深圳市住房保障部门在5年内按年度发放。购房补贴续发期间购买商品住房的,不影响余额发放。
领军人才租房补贴申请经审核合格后,由深圳市住房保障部门按季度发放,标准为:
(一)国家级领军人才4800元/月;
(二)地方级领军人才3200元/月;
(三)后备级人才2560元/月。
此外,领军人才可以申请租住免租金住房3年,其中地方级领军人才、后备级人才应当具有深圳市户籍。免租金住房建筑面积标准为:
(一)国家级领军人才不超过150平方米;
(二)地方级领军人才不超过100平方米;
(三)后备级人才不超过80平方米。
《公示》表明了购房补贴申请人须同时符合的条件:
1. 经深圳市人力资源保障部门认定的领军人才,且其人才证书仍在有效期内;
2. 在深圳市用人单位全职工作;
3. 申请人(配偶)未在深圳市享受过购房优惠政策,未租住政策性住房;
4. 申请人(配偶)已在深圳市拥有商品住房。2015年后新受理的,在深圳市拥有不超过一套商品住房;
5. 地方级和后备级领军人才须具有深圳户籍。
租房补贴申请人须符合上述1、2、3项条件外,还须同时符合未租住过免租金住房、未拥有商品住房的条件。2015年后新受理的,申请人还应当符合上述第5项条件。
《公示》特别提示,申请人人才证书有效期届满的,到期第二个月停发住房补贴。人才经深圳市人社局期末评估合格的,可以申请续发补贴余额。
申请人离职的,离职当月停发住房补贴。申请人被深圳市新用人单位录用后,可以由新单位申请续发补贴余额。
编辑:曾珂
关键词:深圳公示今年首批领军人才住房补贴名单 最高补贴75万元


走进塔吉克斯坦纳乌鲁兹宫
也门霍乱病例激增
2019亚洲商务航空大会及展览会开幕
世界园林巡礼——日本大宫盆栽美术馆
巴黎圣母院:浩劫之后
鄱阳湖畔的瓜田“跑道”
唐山港一季度吞吐量超1.6亿吨
法蒂玛·马合木提
王召明
王霞
辜胜阻
聂震宁
钱学明
孟青录
郭晋云
许进
李健
覺醒法師
吕凤鼎
贺铿
金曼
黄维义
关牧村
陈华
陈景秋
秦百兰
张自立
郭松海
李兰
房兴耀
池慧
柳斌杰
曹义孙
毛新宇
詹国枢
朱永新
张晓梅
焦加良
张连起
龙墨
王名
何水法
李延生
巩汉林
李胜素
施杰
王亚非
艾克拜尔·米吉提
姚爱兴
贾宝兰
谢卫
汤素兰
黄信阳
张其成
潘鲁生
冯丹藜
艾克拜尔·米吉提
袁熙坤
毛新宇
学诚法师
宗立成
梁凤仪
施 杰
张晓梅


